jfid – Bunga majemuk adalah istilah yang sering terdengar dalam dunia keuangan, terutama dalam hal investasi dan pinjaman.
Namun, apa sebenarnya bunga majemuk itu? Bagaimana cara menghitungnya? Dan mengapa bunga majemuk bisa menjadi rahasia kekayaan dari bunga yang berbunga?
Pengertian Bunga Majemuk
Bunga majemuk adalah bunga yang ditentukan berdasarkan tabungan awal beserta tambahan bunga pada periode sebelumnya. Dengan kata lain, bunga majemuk adalah bunga dari bunga. Hal ini berbeda dengan bunga tunggal, yang hanya ditentukan berdasarkan tabungan awal saja.
Contoh sederhana, misalnya Anda menabung Rp 10 juta di bank dengan bunga majemuk 10% per tahun. Maka pada akhir tahun pertama, Anda akan mendapatkan bunga sebesar Rp 1 juta, sehingga total tabungan Anda menjadi Rp 11 juta. Pada akhir tahun kedua, Anda akan mendapatkan bunga sebesar 10% dari Rp 11 juta, yaitu Rp 1,1 juta, sehingga total tabungan Anda menjadi Rp 12,1 juta. Dan seterusnya.
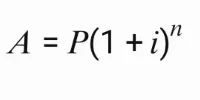
Rumus Bunga Majemuk
Untuk menghitung bunga majemuk, ada rumus yang bisa digunakan, yaitu

Di mana:
- A adalah jumlah akhir (future value)
- P adalah jumlah awal (present value)
- i adalah tingkat bunga per periode
- n adalah jumlah periode
Dengan menggunakan rumus ini, Anda bisa mengetahui berapa jumlah uang yang akan Anda dapatkan setelah menabung atau berinvestasi dengan bunga majemuk dalam jangka waktu tertentu.
Sebaliknya, Anda juga bisa mengetahui berapa jumlah uang yang harus Anda bayarkan jika Anda meminjam uang dengan bunga majemuk.
Keuntungan Bunga Majemuk
Bunga majemuk memiliki keuntungan yang sangat besar bagi para penabung dan investor, karena bunga majemuk bisa membuat uang Anda tumbuh secara eksponensial.
Semakin lama Anda menabung atau berinvestasi, semakin besar pula bunga yang Anda dapatkan. Ini disebut juga dengan efek compounding, yaitu efek penggandaan dari bunga majemuk.
Bunga majemuk juga bisa membantu Anda mencapai tujuan keuangan Anda dengan lebih cepat dan mudah.
Misalnya, jika Anda ingin memiliki uang Rp 100 juta dalam 10 tahun, Anda bisa menabung Rp 38,5 juta di bank dengan bunga majemuk 10% per tahun. Atau, Anda bisa menabung Rp 25,9 juta di reksa dana dengan bunga majemuk 15% per tahun.
Bandingkan dengan bunga tunggal, yang membutuhkan tabungan awal Rp 66,7 juta dengan bunga 5% per tahun untuk mencapai tujuan yang sama.
Cara Mengaplikasikan Bunga Majemuk
Untuk mengaplikasikan bunga majemuk dalam kehidupan sehari-hari, Anda bisa melakukan beberapa hal berikut:
- Menabung atau berinvestasi secara rutin dan konsisten di produk keuangan yang memberikan bunga majemuk, seperti deposito, reksa dana, saham, obligasi, atau asuransi.
- Memilih produk keuangan yang memberikan bunga majemuk dengan tingkat bunga yang tinggi dan biaya yang rendah, sehingga Anda bisa mendapatkan hasil maksimal dari bunga majemuk.
- Memanfaatkan kalkulator bunga majemuk yang tersedia di internet untuk menghitung dan merencanakan keuangan Anda dengan bunga majemuk, sehingga Anda bisa mengetahui berapa jumlah uang yang Anda butuhkan untuk mencapai tujuan keuangan Anda.
- Menghindari atau mengurangi pinjaman yang memberikan bunga majemuk, karena bunga majemuk bisa membuat utang Anda membengkak secara drastis. Jika Anda harus meminjam uang dengan bunga majemuk, pastikan Anda membayar cicilan tepat waktu dan sesuai dengan kemampuan Anda.
Kesimpulan
Bunga majemuk adalah bunga yang dihitung berdasarkan pokok awal, yang juga mencakup semua bunga akumulasi dari deposito atau pinjaman periode sebelumnya.
Bunga majemuk bisa menjadi rahasia kekayaan dari bunga yang berbunga, karena bunga majemuk bisa membuat uang Anda tumbuh secara eksponensial.
Dengan bunga majemuk, Anda bisa mencapai tujuan keuangan Anda dengan lebih cepat dan mudah.
